430685
研究背景
1.1脂质体
脂质体是一种微型泡囊体,能将药物包封于脂质双分子层内,具有靶向、缓释、降低药物毒性等诸多优点,迄今已经在制药、医疗、生物化学、食品科学、化妆品等多领域广泛应用。评价脂质体质量的指标有外观、粒径分布和包封率等,制备方法不同,脂质体的粒径、结构都不尽相同。脂质体在不同领域应用,粒径是衡量脂质体内在质量的一个重要指标,探头式超声由于操作简便,已成为制备脂质体主要制备方法之一,但是由于超声条件的不同,制备的脂质体没有很好的重现性。影响超声效果因素包括输入功率、作用时间、超声频率等,通过控制这些因素,可以控制脂质体粒径的变化,从而得到理想大小的脂质体。
实验方法
2.1脂质体的制备
采用逆向蒸发法制备脂质体,精密称取一定量的卵磷脂、胆固醇、α-生育酚适量混合溶于一定量氯仿中,将脂质溶液移入250mL圆底瓶中,氮气中45℃恒温水浴减压去除有机溶剂,直至形成干燥脂质薄膜,待有机溶剂完全去除,停止旋转,从水浴中提起圆底瓶,加入一定浓度的PBS(pH6.5)溶液旋转洗膜,在45℃水浴中水合2h即形成乳白色脂质体混悬液。
2.2脂质体溶液的超声方法
图1为本实验所用超声装置,钛探针直径为1.5cm,反应池为一个开放的玻璃烧杯(直径3cm,高度7.5cm),冰水浴超声。实验设置20%、30%和40%三个功率百分比,超声处理脂质体,超声仪探针距杯底深度分别设置为1.5和3.0cm。15ml脂质体按上述条件针式冰水浴超声,超声5次,每次时间为4mim(单次超声30s,间隔30s)。超声完成后,关闭超声使容器冷却,用0.22μm微孔滤膜过滤除去钛颗粒杂质。激光粒度仪分析超声对脂质体粒径分布及对分散系数的影响。

实验结果
3.1超声功率对脂质体粒径的影响
不同输入功率,超声时间为20min,脂质体超声后平均粒径及粒径范围分布见附表。结果表明,随着超声功率的增加,脂质体粒径变小,粒径分布范围变窄,说明高功率超声得到的脂质体粒径更均匀。图2为磷脂含量为10mmol/L脂质体超声前后粒径图,超声之前(图2A)脂质体粒径呈单峰分布,平均粒径为300nm左右,随着超声时间的增加,超声20min后能明显观察到粒径变小,粒径分布变窄,见图2B,超声功率为40%时,20min后获得粒径约为70nm左右的单峰分布的脂质体。


3.2超声时间对脂质体粒径的影响
如图3所示,超声功率分别为20%、25%、30%、35%、40%,增加超声时间,磷脂含量为10mmol/L的脂质体粒径变化,结果显示,随着超声时间的增加,脂质体粒径减小,直到20min时得到一个稳定的脂质体粒径,不再发生变化。为了证实超声时间足够形成稳定的脂质体粒径,增加超声时间到25min,考察脂质体的粒径分布。

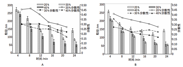
3.3超声时间对脂质体粒径的影响
设定中高低三个超声输入功率20%、30%和40%,烧杯底部和探头的距离分别为10和15mm。在不同的超声功率和深度下,超声时间不同,得到不同粒径的脂质体。图4显示的是磷脂含量为10mmol/L的脂质体,应用超声功率分别为20%、30%和40%,粒径随超声时间的变化图,结果表明,随着超声时间的延长,脂质体粒径降低,直到超声时间为20min,脂质体粒径不在变化,从图中还可以看出,随着超声功率的增加,脂质体粒径降低。应用不同的超声时间和不同的深度,获得的脂质体粒径也不同。考虑到连续的超声时间和功率,深度为15mm时,获得的脂质体粒径更佳。15mm与10mm探针深度获得的脂质体粒径并没有明显区别,然而在10mm时,脂质体空化现象更为明显,促进羟基自由基的形成,造成脂质体成分中磷脂的氧化。15mm深度时磷脂发生氧化的机率更低。这点在应用不饱和磷脂制备脂质体时尤其重要,因为不饱和磷脂容易氧化。从图中可以看出,功率越高,超声得到的脂质体分散系分散得越均匀,随着功率的增加,粒径和分散率降低,但超声时间过长,超声探头会释放更多钛颗粒杂质,造成污染。因此,超声条件为探针深度为15mm、超声功率为40%,超声时间为20min时,得到的脂质体粒径和分散度最好。

讨论
4.1新芝生物·全球样品制备专家
超声波是由一系列疏密相间的纵波构成的,并通过液体介质向四周传播。通过研究脂质体制备过程中超声对其影响,来达到控制脂质体性质的目的,实验结果表明,影响脂质体粒径分布范围和zeta电位的三个超声参数分别为:超声深度、功率输入和超声时间。因此,为获得的均一性较好的脂质体应该从此三方面进行探索。
新芝生物作为全球样品制备专家,深耕超声技术多年,产品功能齐全,超声产品具有功率调控、时间调控和超声深度调控等多方面功能。从用户实际需求出发,能够为用户提供高效率、高性价比的产品和解决方案。

24小时服务热线 18106650612