430685
背景
脂多糖(lipopolysaccharide,LPS),又称内毒素,为革兰氏阴性菌细胞壁外壁的组成成分,可作用于膜受体激活多种细胞(巨噬细胞、上皮细胞、内皮细胞等)信号转导系统,促进促炎细胞因子和其他炎性介质的合成及释放,引发炎症反应。客户采用LPS诱导RAW264.7巨噬细胞建立体外炎症模型,使用超声波细胞粉碎机将蛋白及核酸从炎症细胞中分离出来,从基因、蛋白相对表达水平方面评估羊栖菜多酚(Hizikia fusiformis polyphenols,HFPs)的抗炎活性,为其在新型抑炎制剂的开发利用提供理论依据。
材料与方法
1.1羊栖菜多酚的制备
取干燥羊栖菜粉末,加入体积分数60%乙醇溶液,使用SCIENTZ-IID 超声辅助浸提(料液比1:20(m/V)、50℃、60min),抽滤后真空减压蒸馏去除乙醇,获羊栖菜粗多酚溶液,依次采用等体积石油醚、乙酸乙酯分级萃取,真空减压蒸馏后冻干(使用 SCIENTZ-12N 过夜冻干),获得HFPs粉末。测得HFPs粉末总酚含量为23.67±0.24 mg/g。利用无菌水配制成多酚母液,再以细胞培养液稀释至不同浓度,用于后续实验。
1.2炎症细胞培养
使用完全培养基(含10%(体积分数,下同)胎牛血清和1%青链霉素双抗DMEM培养基)培养RAW264.7细胞,37℃、5% CO2培养,细胞融合度约80%时进行传代。然后分成3组进行培养:①阴性对照组,仅加入含10%胎牛血清的DMEM培养基;②LPS阳性对照组,加入含LPS (1μg/mL)和10%胎牛血清的DMEM培养基刺激24 h;③HFPs+LPS组,经含不同质量浓度(10、20、40、60、80、100、120、140、160、180、200、250、300、350μg/mL)HFPs和10%胎牛血清的DMEM培养基培养24h后,以含LPS(1μg/mL)和10%胎牛血清的DMEM培养基刺激24h。
1.3RAW264.7细胞炎症相关基因相对表达量的测定
1.2中培养的三组细胞培养结束后弃去培养液,用0.01mol/L、pH7.2的磷酸盐缓冲液(phosphate buffered saline,PBS)清洗细胞2次,每孔加入500μL TRIzol试剂,使用SCIENTZ-IID加速破碎细胞协助提取总RNA,超声参数为:100W,1s开1s关,共1min,并将RNA逆转录为cDNA。以cDNA为模板,采用SYBR Green嵌合荧光法与引物进行实时荧光定量PCR。测定目的基因(IL-1β、IL-6、TNF-a、COX-2、iNOS)和内参基因次黄嘌呤磷酸核糖基转移酶1(hypoxanthine-guanine phosphoribosyl transferase,hprt1)Ct值,采用2-△△Ct法计算目的基因的相对表达量。
1.4MAPKs、NF-KB信号通路关键蛋白相对表达量测定
1.2中培养的三组细胞培养结束后弃去培养液,用0.01mol/L、pH7.2的磷酸盐缓冲液(phosphate buffered saline,PBS)清洗细胞2次,加入200μL RIPA细胞裂解液,使用SCIENTZ-IID加速破碎细胞协助提取蛋白质,超声参数为:100W,1s开1s关,共1min,离心(12000r/min、4℃)10min取上清液。采用BCA蛋白质量浓度测定试剂盒测定各组蛋白浓度,用蛋白上样缓冲液调整蛋白质量浓度为2mg/mL,95℃加热10min使蛋白变性然后进行十二烷基硫酸钠-聚丙烯酰胺凝胶电泳分离;湿转到聚偏二氟乙烯膜;5%(质量分数)脱脂奶粉(TBST溶液配制)封闭1h;一抗4℃孵育12h;二抗室温孵育2h;加入ECL试剂进行显色反应,测定蛋白条带灰度值。以β-actin为内参,目的蛋白包括iNOS、p65、p-p65、p38、p-p38、JNK和p-JNK,分别以p-p38/p38、p-JNK/JNK、p-p65/p65表示相应蛋白磷酸化水平。
结果与分析
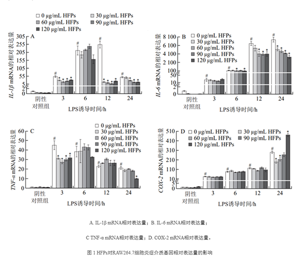
01RAW264.7细胞炎症相关基因相对表达量的测定结果
采用实时荧光定量PCR测定HFPs对LPS诱导的巨噬细胞中重要促炎细胞因子IL-1β、IL-6和TNF-a基因相对表达量,以及炎症相关酶COX-2基因相对表达量的影响。如图1所示,LPS刺激不同时间后,所有炎症介质的mRNA表达水平均显著提高(P<0.05)。HFPs对促炎细胞因子的抑制作用与其剂量、LPS诱导时间及细胞因子种类相关。与LPS组相比,静息状态细胞经HFPs处理再经LPS诱导12、24h后,IL-1β和IL-6的基因相对表达量显著下降;HFPs显著抑制LPS诱导3h后TNF-a基因的相对表达,而在LPS诱导6~24h的抑制作用总体不明显。在LPS诱导24h,较低剂量HFPs(30、60μg/mL) 预处理对COX-2基因表达具有显著抑制作用,但提高剂量后该抑制效果消失,甚至出现反向促进作用,120μg/mL HFPs预处理促使COX-2相对表达量较LPS组显著上升(P<0.05).

02MAPKs、NF-KB信号通路关键蛋白相对表达量测定
1.2中培养的三组细胞培养结束后弃去培养液,用0.01mol/L、pH7.2的磷酸盐缓冲液(phosphate buffered saline,PBS)清洗细胞2次,加入200μL RIPA 细胞裂解液,使用SCIENTZ-IID加速破碎细胞协助提取蛋白质,超声参数为:100W,1s开1s关,共1min,离心(12000r/min、4℃)10min取上清液。采用BCA蛋白质量浓度测定试剂盒测定各组蛋白浓度,用蛋白上样缓冲液调整蛋白质量浓度为2mg/mL,95℃加热10min使蛋白变性然后进行十二烷基硫酸钠-聚丙烯酰胺凝胶电泳分离;湿转到聚偏二氟乙烯膜;5%(质量分数)脱脂奶粉(TBST溶液配制)封闭1h;一抗4 ℃孵育12h;二抗室温孵育2h;加入ECL试剂进行显色反应,测定蛋白条带灰度值。以β-actin为内参,目的蛋白包括iNOS、p65、p-p65、p38、p-p38、JNK和p-JNK,分别以p-p38/p38、p-JNK/JNK、p-p65/p65表示相应蛋白磷酸化水平。

总结
客户采用LPS诱导RAW264.7巨噬细胞建立体外炎症模型,使用超声波细胞粉碎机将蛋白及核酸从炎症细胞中分离出来,从基因、蛋白相对表达水平方面评估羊栖菜多酚(Hizikia fusiformispolyphenols,HFPs)的抗炎活性,为其在新型抑炎制剂的开发利用提供理论依据。超声波细胞粉碎机在整个实验中起到作用如下:
01辅助提取羊栖菜中多酚组分,加速多酚组分释放,缩短了提取进程,后续通过冻干步骤即可获得羊栖菜多酚粉末,溶解后备用;
02搭配TRIzol试剂对细胞中总RNA进行提取,试剂中含有苯酚,可加速细胞破碎和核酸释放,还加入核酸酶抑制物质防止RNA降解,PCR结果表明提取的RNA浓度与纯度较好,可用于相关基因表达情况的分析;
03搭配RIPA裂解液对细胞中的蛋白质进行提取,大幅减少原本冰上裂解所需时间(30 min),试剂中含有的蛋白酶抑制剂可防止蛋白降解,还含有磷酸酶抑制剂,防止蛋白提取后的再修饰,更好测定蛋白磷酸化状态。
24小时服务热线 18106650612