430685
恒温槽作为一种非常常规且常见的恒温装置,已被广泛应用于生物技术、化学、半导体、医疗技术、汽车、航空航天等众多领域。如图1所示,在面对恒温槽的选择和使用情况下,参数设定需要考虑众多实际问题。每一项恒温槽参数的背后都会有1-2项机械或物性参数对其影响,如循环泵扬程和流量都需要综合考虑泵性能曲线及恒温介质的物性等参数。

在选择和使用恒温槽时,需要考虑流体流动状态、介质选择和换热效率等参数。本文,我们从流体流动先来讲一讲。
关于流体的流动性
众所周知的,流体的流动性好不好,我们必然会考虑的就是流体粘不粘,也就是粘度。粘度分为动力粘度(μ)和运动粘度(ν),两者的换算方式为:
μ = ν × ρ即 动力粘度 = 运动粘度 × 介质密度
注意:ρ:g/cm3;μ:mPa·s;ν:cSt;或者ρ:kg/m3;μ:Pa·s;ν:m2/s
动力粘度通常使用的单位为泊(P)、厘泊(cP)、毫帕秒(mPa·s)和帕秒(Pa·s)等,相互之间的换算关系如下:
1 P = 100 cP = 0.1 Pa·s = 100 mPa·s
运动粘度通常使用的单位为m2/s、斯(St)和厘斯(cSt)等,相互之间的换算关系如下:
1 m2/s = 104 St = 106cSt
液体怎么在管道内流动

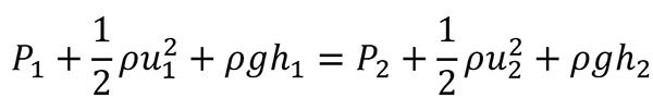
流体在管道中的流动遵循流体的机械能守恒获得流体流动的方程。即:压力势能+动能+重力势能=常数。如图2所示管道内流动过程,在理想状态下,1点位和2点位的能量应该是守恒的,即:

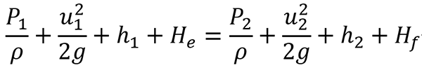
然而实际情况下,由于摩擦等存在,从1点位流到2点位必然会有能量损失,因此为了能够使等式成立,往往需要考虑在前端施加动力,在后端考虑损失。正因此,泵可以给流体提供外加压头,而管道尺寸、形状、变径、弯头、阀门等等均会产生管道阻力而产生压头损失,因此对上式变形可得:

其中,以图2为例,等式从左到右八项分别为 1点静压头、1点动压头、1点位压头、外加压头、2点静压头、2点动压头、2点位压头、压头损失。
由此,我们可以得到以下结论
1、流体的流速、流量均与动力粘度成反比;2、压降与动力粘度成正比;3、流体的粘度越大,则表示流体的流动性越差;4、外循环管路过长、过细、有过多管道连接件都会导致大量的能量损失而阻碍流动;5、当外负载管路阻力较高时应考虑升高泵压。
关于雷诺数-Re
此外,在管道内流动时,我们如何评估流体的粘度对流动影响是否严重以及流体的流动状态呢?我们需要引入一个无量纲参数,雷诺数——Re,其计算方式如下:
Re=duρ/μ
其中,d为管道的当量直径,μ为流体的粘度、ρ为流体的密度、u为流体的流速。根据Re的从小到大,可以将流体的流动状态分为层流、过渡流和湍流,如果想要流体在流动的过程中有充分的返混,那么需要加大雷诺数是流体进入湍流;如果想要层层推进,没有返混那么就要让流体流动缓慢,处于层流状态。
那么层流和湍流对于恒温有什么影响呢?让我们留个小悬念,我们下次再讨论~新芝恒温水浴类产品具有多种扬程选择,从0.45~6 bar的可选范围,充分帮助你克服因为管道阻力过大而引起的压降!

上一篇: 微生物生长曲线分析仪助力您的科研之路
下一篇: 微生物生长曲线分析仪大小和形状的影响
24小时服务热线 18106650612